看板 Knuckles_note
作者 標題 [工數] 工數矩陣筆記
時間 2011年09月29日 Thu. AM 02:01:40
- 1.矩陣代數運算
![[圖]]()
![[圖]]()
![[圖]]()
![[圖]]()
- 2. 方陣之行列式值
![[圖]]()
![[圖]]()
- 3. 求解聯立方程組
![[圖]]()
![[圖]]()
- 5. 矩陣秩數
![[圖]]()
![[圖]]()
- 6. 反矩陣
![[圖]]()
![[圖]]()
- 7. 矩陣之特徵值與特徵向量 (Eigenvalue, Eigenvector)
![[圖]]()
![[圖]]()
- 8. 矩陣對角化
![[圖]]()
![[圖]]()
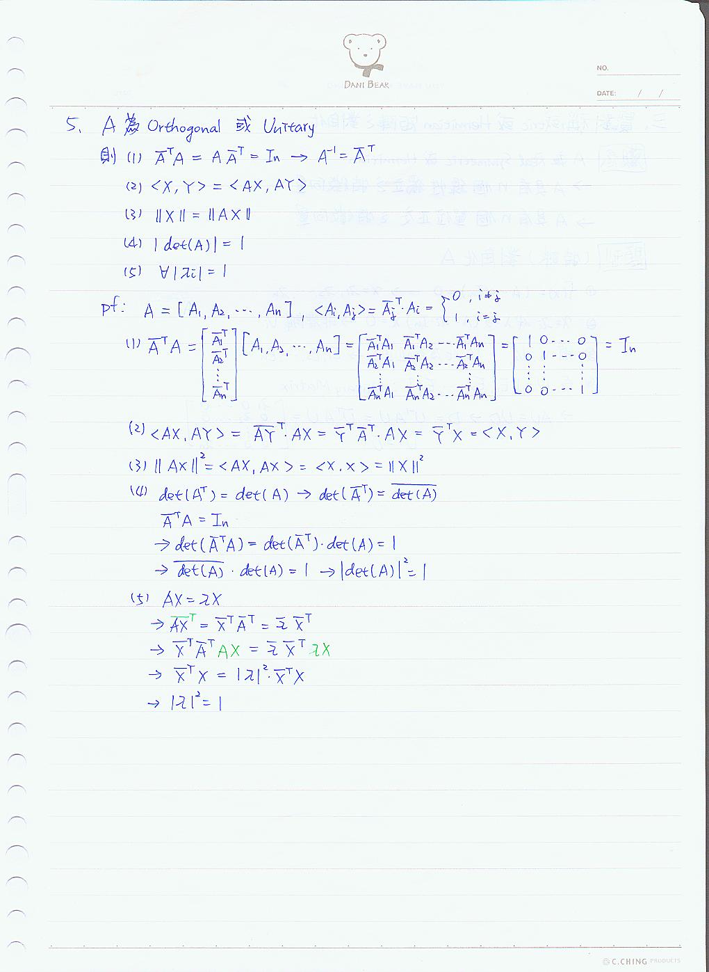
- 9. 特殊矩陣及其性質
![[圖]]()
![[圖]]()
![[圖]]()
![[圖]]()
- 11. 方陣函數
![[圖]]()
![[圖]]()
![[圖]]()
--
※ 作者: Knuckles 時間: 2011-09-29 02:01:40
※ 編輯: Knuckles 時間: 2011-12-12 12:33:37
※ 看板: KnucklesNote 文章推薦值: 0 目前人氣: 0 累積人氣: 15754
※ 文章分類: 通訊系統組 研究所考試筆記
※
uefangsmith
轉錄至看板 uefacool (使用複製) 時間:2011-10-01 15:05:42
回列表(←)
分享
![[圖]](http://lh5.ggpht.com/-WLeQzV2Y854/ToNASqEjmBI/AAAAAAAAA0E/1wCjpxcXHYo/s1397/matrix_001.jpg)
![[圖]](http://lh3.ggpht.com/-ofVNWN3Bj4s/ToNASkY9tvI/AAAAAAAAA0A/Dpg-6ZqBHIQ/s1397/matrix_002.jpg)
![[圖]](http://lh3.ggpht.com/-Oc2pZBgjpPo/ToNASqrZWMI/AAAAAAAAA0I/_hLcDsLrP0o/s1397/matrix_003.jpg)
![[圖]](http://lh3.ggpht.com/-R5tOoPt-iXI/ToNATE7Hu3I/AAAAAAAAA0M/QHyu4ilwXeo/s1397/matrix_004.jpg)
![[圖]](http://lh5.ggpht.com/-JwLp2dse2uc/ToNATZuEQkI/AAAAAAAAA0Q/Sp-V4iKdwlI/s1397/matrix_005.jpg)
![[圖]](http://lh4.ggpht.com/-_H0qaXAABEo/ToNATSVn8BI/AAAAAAAAA0U/Rkbt_2cx4bA/s1397/matrix_006.jpg)
![[圖]](http://lh4.ggpht.com/-9sfR31ATQrI/ToNAT5Llz_I/AAAAAAAAA0Y/oUoRUXYJSrg/s1397/matrix_007.jpg)
![[圖]](http://lh6.ggpht.com/-k54MMw1KIGQ/ToNAT3c3zbI/AAAAAAAAA0c/9hg7tynEQD4/s1397/matrix_008.jpg)
![[圖]](http://lh5.ggpht.com/-o5G3nNi32yo/ToNAUE3d4aI/AAAAAAAAA0g/4NojlxQjiyc/s1397/matrix_009.jpg)
![[圖]](http://lh5.ggpht.com/-EmehT95Hkek/ToNAUTKwAhI/AAAAAAAAA0k/69IoxA5gIJ4/s1397/matrix_010.jpg)
![[圖]](http://lh5.ggpht.com/-QjpKu_P616g/ToNAUkqfRbI/AAAAAAAAA0o/EuyTk0HQT0k/s1397/matrix_011.jpg)
![[圖]](http://lh4.ggpht.com/-8BCo9ffWlNA/ToNAUtGuEaI/AAAAAAAAA0s/vJGlSQWURl4/s1397/matrix_012.jpg)
![[圖]](http://lh3.ggpht.com/-831HqzRvfKs/ToNAU0SAIeI/AAAAAAAAA0w/3dW6drAnifk/s1397/matrix_013.jpg)
![[圖]](http://lh4.ggpht.com/-eN_sSNLnW5A/ToNAVeXHdDI/AAAAAAAAA00/FLuM3vw01uM/s1397/matrix_014.jpg)
![[圖]](http://lh4.ggpht.com/-lJTUZ8SCXFo/ToNAVQ-fWWI/AAAAAAAAA04/mdwuMjVXb-Y/s1397/matrix_015.jpg)
![[圖]](http://lh5.ggpht.com/-vPPcTwHyDRY/ToNAVmoj1FI/AAAAAAAAA08/g7iQ6Edh1iU/s1397/matrix_016.jpg)
![[圖]](http://lh6.ggpht.com/-wiNvHXxvLIg/ToNAVy_TyDI/AAAAAAAAA1A/n5yc5GiLb70/s1397/matrix_017.jpg)
![[圖]](http://lh6.ggpht.com/-DKmKFKjw07k/ToNAWD_OmEI/AAAAAAAAA1E/PdzDlSML5qs/s1397/matrix_018.jpg)
![[圖]](http://lh6.ggpht.com/-a95LOnrJhpE/ToNAWJu2G9I/AAAAAAAAA1I/Qn9NIzgB-j0/s1397/matrix_019.jpg)
![[圖]](http://lh6.ggpht.com/-F90a_sRDrCk/ToNAWdARH0I/AAAAAAAAA1M/b5mpn0v90kM/s1397/matrix_020.jpg)
![[圖]](http://lh3.ggpht.com/-SmBGsjINq4I/ToNAWoAhXnI/AAAAAAAAA1Q/pJgzHg3bNfw/s1397/matrix_021.jpg)
![[圖]](http://lh4.ggpht.com/-aNDGn2DWVHI/ToNAW411E5I/AAAAAAAAA1U/TZn4qO39dt0/s1397/matrix_022.jpg)
![[圖]](http://lh3.ggpht.com/-dClwV7mkV3k/ToNAW2bwB4I/AAAAAAAAA1Y/cAwEqQoqN1E/s1397/matrix_023.jpg)