看板 Knuckles_note
作者 標題 [工數] 工程機率筆記 ch9 隨機程序
時間 2011年09月29日 Thu. AM 02:44:55
--
※ 作者: Knuckles 時間: 2011-09-29 02:44:55
※ 編輯: Knuckles 時間: 2011-12-12 12:37:49
※ 看板: KnucklesNote 文章推薦值: 0 目前人氣: 0 累積人氣: 4623
※ 文章分類: 通訊系統組 研究所考試筆記
※
uefangsmith
轉錄至看板 uefacool (使用複製) 時間:2011-10-01 15:06:18
回列表(←)
分享
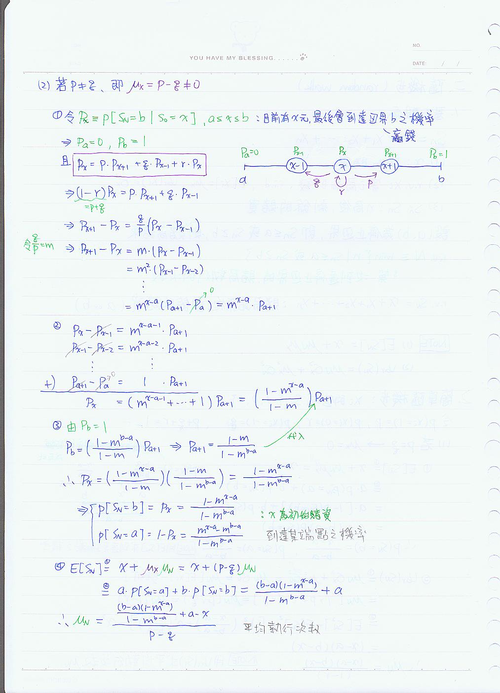
![[圖]](http://lh4.ggpht.com/-enbVCkFn3qU/ToNAIysp1vI/AAAAAAAAAzk/IhI9ZGHOU0Q/s1404/EP_note_054.jpg)
![[圖]](http://lh6.ggpht.com/-EXMM_NH3EkE/ToNAJFgi7vI/AAAAAAAAAzo/8CMuHXYvkKQ/s1404/EP_note_055.jpg)
![[圖]](http://lh6.ggpht.com/-q_s61ZM9wHg/ToNAJ7pD5lI/AAAAAAAAAzw/e4wlJDnOiyk/s1404/EP_note_056.jpg)
![[圖]](http://lh4.ggpht.com/-TeGugl6QSmA/ToNAJcWj8uI/AAAAAAAAAzs/lSlY0fvjcJU/s1404/EP_note_057.jpg)