作者 protonchang (忘東忘西)
標題 [開箱] Intel Arc Pro B60簡單分享 (SR-IOV來了)
時間 Sun Mar 15 11:12:09 2026


TL;DR 這篇主要是要講SR-IOV在虛擬化下能用,你想看效能測試的話,本篇目前沒有


前情提要
會買這張其實也沒什麼太多的理由,單純就是因為Computex 2025的時候,Intel說Arc
Pro系列會支援SR-IOV
加上最近在嘗試Guacamole RDP Gateway
配這張卡就可以變成不用授權的VDI解決方案,對中小企業來說是很實惠的選擇
那作為虛擬化Lab主題的機器,有不來一張的道理嗎?

所以就Do ~ Re ~ Mi ~ So
Sparkle Arc Pro B60
https://static.1415926.dev/AP_B60/1.jpg
[圖]

簡述一下測試平台
MB: Tyan S8030 (With ReBarUEFI)
CPU: AMD EPYC 7B13
RAM: Micron DDR4 2666 REG ECC 64G x 4
OS: Proxmox VE 9.1.6 (Kernel 6.17.3-1)

插卡開機什麼的,大家都很熟了,這邊直接跳過 (絕對不是因為我懶)

Intel在Linux下對於Arc Pro顯卡SR-IOV的支援,目前取決於卡片本身自帶的韌體版本
在首發的B50中,就有發現Intel於後續更新中,縮減Virtual Function數量的狀況
但幸好只要降回舊版驅動就會連帶降級韌體版本

而B60現有的韌體,目前最多可以支援到七個VF,換個講法就是,這張卡最多可以同時給7
個VM存取
(不過在Level1tech的論壇中,有其他網友提到說,ASRock版本的B60可以開到24個VF)

lspci看一下VF狀況,看來是沒啥問題,上機前有先用Windows電腦將驅動更新為
32.0.101.8314
確定OK就可以啟用這些VF了,先啟用四個試試看
https://static.1415926.dev/AP_B60/2.png
[圖]

啟用成功
https://static.1415926.dev/AP_B60/3.png
[圖]

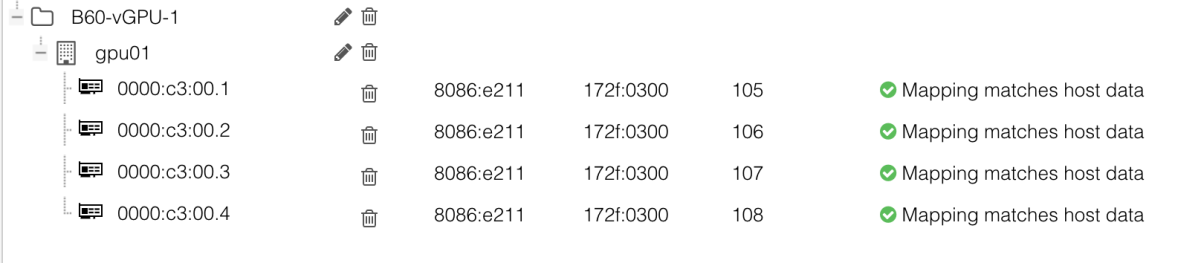
下一步通常會建議在Proxmox內把這些VF組合成一個Resource Mapping
這樣你掛載到VM上面時,就不用還要記說到底哪個VF是使用中的
https://static.1415926.dev/AP_B60/4.png
[圖]
https://static.1415926.dev/AP_B60/5.png
[圖]

切到VM硬體頁面,把PCI裝置掛進去
https://static.1415926.dev/AP_B60/6.png
[圖]

掛載好就可以開機了
再來就是安裝驅動
這邊跟NVIDIA比較不一樣的是,NV通常給你VM Host驅動包的時候,會一併給你VM Guest
的驅動
但Intel的話,虛擬機裡面安裝的,跟你直接把卡片裝在本機時使用的是相同的驅動
直接在VM內下載驅動並安裝就可以了
https://static.1415926.dev/AP_B60/7.png
[圖]

裝完之後開個WebGL看看效果
蠻好的 可以頂到RDP 60fps的上限
https://static.1415926.dev/AP_B60/8.png
[圖]

結論

在查資料的時候意外發現這張卡在國內的討論程度還蠻低的
以AI計算的角度來看的話,很多人也是說誰買誰撞到

但對Homelabber及預算有限的中小企業來說
Intel B60甚至是B50的CP值是真的很高
低預算就可以取得硬體加速的效果,還不用付每年貴貴的驅動授權費用
只要驅動再穩定一點,這應該是目前市面上可以買到最低硬體花費的可虛擬化顯卡
(排除NVIDIA P4這種二手EOL玩意的話)
蠻推薦有Homelab或是有虛擬化需求的人嘗試看看

以上 報告完畢

--
※ 發信站: 批踢踢實業坊(ptt.cc), 來自: 220.132.124.167 (臺灣)
※ 作者: protonchang 2026-03-15 11:12:09
※ 文章代碼(AID): #1fjYEDbk (PC_Shopping)
※ 文章網址: https://www.ptt.cc/bbs/PC_Shopping/M.1773544333.A.96E.html
yymeow: 只部屬不訓練的話是沒甚麼撞到的問題,要說就是這張貨沒上主流通路,所以討論度低1F 114.37.23.143 台灣 03/15 11:19
LeoYuri: 看起來真不錯3F 114.140.129.138 台灣 03/15 11:21
※ 編輯: protonchang (220.132.124.167 臺灣), 03/15/2026 11:37:56
commandoEX: 買不到了
看起來只有一批貨4F 118.171.145.204 台灣 03/15 11:39
lordmi: b60最有價值的特性是24gb的記憶體用在llm推論或者3D模擬。虛擬部署的需求還是少,尤其是中小企業內部6F 223.137.20.200 台灣 03/15 11:43
Rollnmeow: 有看到討論B60Pro推論效能普通,
就VRAM夠大,同價位遊戲卡多半16GB9F 36.227.205.239 台灣 03/15 12:02
wk415937: 推分享11F 101.10.124.208 台灣 03/15 12:14
d030b: 感謝分享12F 36.229.36.211 台灣 03/15 12:33
protonchang: 虛擬部署算是個Bonus 我看比較多討論還是以AI跟3D模擬加速為主13F 220.132.124.167 台灣 03/15 12:38
oopFoo: pchome還在賣啊。一批,一批的,有時會缺15F 58.114.66.74 台灣 03/15 12:40
gameguy: Intel還在做顯示卡還沒把部門收起來還是賣掉喔16F 114.136.249.44 台灣 03/15 12:59
Cubelia: GG還可以推文喔
阿忘記是在機車板被桶18F 111.255.2.251 台灣 03/15 13:07
Rollnmeow: 樓上,你的串流機都還要用I卡 賣啥呢賣了你去哪裡找低價硬解卡20F 36.227.205.239 台灣 03/15 13:08
shokotan: 顯卡界唯一良心 支援AV1 H265 大VRAM22F 111.250.133.91 台灣 03/15 14:15
protonchang: 要說良心嗎 倒也還好
B50的VF莫名其妙被縮成兩個…23F 39.10.65.201 台灣 03/15 14:34
tanted: 有看到有48G 版本 請問有些購買管道可以買48G 版的25F 123.193.229.55 台灣 03/15 14:40
protonchang: 48G版就我所知目前好像都只接B2B
而且他的48G版本實際上
是兩張24G黏在一張PCB
你的主機板要支援PCIe拆分才能用27F 223.137.166.240 台灣 03/15 14:43
Rollnmeow: 據說標配32G的B65/70三月會出31F 36.227.205.239 台灣 03/15 14:45
narukaza: 所以說穿了,除非你要插滿全槽,不然買兩張B60應該就等於B60雙核心版,而且PCI-E頻寬還更高(兩條X16而不是拆x8+x8)但就不知道雙核心版顯存是共享的,還是其實也是分開算?32F 114.34.174.204 台灣 03/15 15:05
tanted: www.coolbar.life/archives/187523
銘瑄 Dual 48G Turbo 這要掏寶才能買 是嗎37F 123.193.229.55 台灣 03/15 15:06
Rollnmeow: 雙B60的VRAM當然是分開的24+24G39F 36.227.205.239 台灣 03/15 15:26
ouskit: intel 佛心卡40F 111.248.254.57 台灣 03/15 16:09
protonchang: VRAM都是分開算
他沒有NVLink這種東西
然後單卡都是PCIe 5.0 x8
所以才能兩張用切分的併成一張41F 223.137.166.240 台灣 03/15 16:18
yymeow: 48G的主板要有拆成x8/x8的功能才可都用上45F 114.37.23.143 台灣 03/15 16:58
dos01: 有趣的東西
中小企業反而不適合這種玩具吧
真的有這需求還是捏上去 抄別人的作業就好真的自己搞這個東西 需要解決的問題太多46F 210.209.164.247 台灣 03/15 17:11
protonchang: 就天平的兩端 NV整套當然好
還不用Debug
但錢不是問題 問題是沒錢 XD50F 223.137.166.240 台灣 03/15 18:26
sdbb: 謝謝53F 112.104.153.133 台灣 03/15 22:27

--